MCU: tiempo en recorrer un arco de circunferencia (2816)

, por F_y_Q

Un móvil se mueve con MCU y recorre un arco de 220 m y su frecuencia es de 6 rpm. ¿Cuántos segundos emplea en dicho recorrido si el diámetro de la circunferencia que describe mide 70 m?

P.-S.

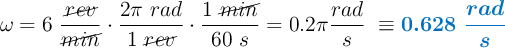
La frecuencia o velocidad angular es:

\omega = 6\ \frac{\cancel{rev}}{\cancel{min}}\cdot \frac{2\pi\ rad}{1\ \cancel{rev}}\cdot \frac{1\ \cancel{min}}{60\ s} = 0.2\pi \frac{rad}{s}\ \equiv \color[RGB]{0,112,192}{\bm{0.628\ \frac{rad}{s}}}

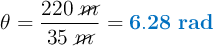
El ángulo barrido para recorrer el arco de 220 m lo puedes obtener de la ecuación:

l = \theta\cdot R\ \to\ \color[RGB]{2,112,20}{\bm{\theta = \frac{l}{R}}}

Sustituyes los datos y calculas:

\theta = \frac{220\ \cancel{m}}{35\ \cancel{m}} = \color[RGB]{0,112,192}{\bf 6.28\ rad}

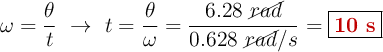
Si aplicas la definición de velocidad angular:

\omega = \frac{\theta}{t}\ \to\ t = \frac{\theta}{\omega} = \frac{6.28\ \cancel{rad}}{0.628\ \cancel{rad}/s} = \fbox{\color[RGB]{192,0,0}{\bf 10\ s}}

Palabras clave