MCU: relación entre magnitudes lineales y angulares (2469)

, por F_y_Q

Un ciclista recorre una pista circular de 20 m de radio con una velocidad constante de 20 km/h. Calcula:

a) La distancia que recorre sobre la circunferencia en tres segundos.

b) El ángulo que ha descrito en ese tiempo.

c) La velocidad angular que lleva.

P.-S.

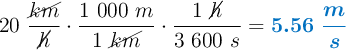
En primer lugar, debes expresar la velocidad en unidades SI:

20\ \frac{\cancel{km}}{\cancel{h}}\cdot \frac{1\ 000\ m}{1\ \cancel{km}}\cdot \frac{1\ \cancel{h}}{3\ 600\ s} = \color[RGB]{0,112,192}{\bm{5.56\ \frac{m}{s}}}

a) A los 3 s, la distancia que ha cubierto será:

v = \frac{d}{t}\ \to\ {\color[RGB]{2,112,20}{\bm{d = v\cdot t}}} = 5.56\ \frac{m}{\cancel{s}}\cdot 3\ \cancel{s} = \fbox{\color[RGB]{192,0,0}{\bf 16.68\ m}}


b) El ángulo que ha descrito lo puedes averiguar teniendo en cuenta que la distancia recorrida está relacionada con ese ángulo por medio del radio:

d = \alpha\cdot R\ \to\ {\color[RGB]{2,112,20}{\bm{\alpha = \frac{d}{R}}}} = \frac{16.68\ \cancel{m}}{20\ \cancel{m}} = \fbox{\color[RGB]{192,0,0}{\bm{0.834\ rad\ \equiv 150.12^o}}}


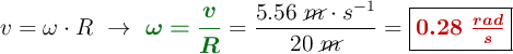
c) La velocidad angular también está relacionada con la lineal por medio del radio:

v = \omega\cdot R\ \to\ {\color[RGB]{2,112,20}{\bm{\omega = \frac{v}{R}}}} = \frac{5.56\ \cancel{m}\cdot s^{-1}}{20\ \cancel{m}} = \fbox{\color[RGB]{192,0,0}{\bm{0.28\ \frac{rad}{s}}}}

Palabras clave