Longitud de un cable conectado a un circuito 0001

, por F_y_Q

Calcula la longitud de un alambre de platino de 2 mm de diámetro cuando se conecta a una batería de 9 V, si la corriente es de 5 A.

P.-S.

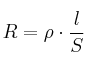
La resistencia del alambre de platino viene dada por la expresión: R = \rho\cdot \frac{l}{S}, donde \rho es la resistividad del platino, "l" es la longitud del hilo y "S" es la sección del mismo.
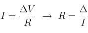
Como sabemos qué intensidad recorre el hilo cuando es conectado a un potencial de 9 V podemos calcular la resistencia de ese hilo a partir de la Ley de Ohm:
I = \frac{\Delta V}{R}\ \to\ R = \frac{\Delta}{I}
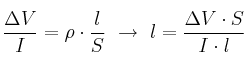
Sustituimos el valor de la resistencia en la primera ecuación y despejamos el valor de la longitud:
\frac{\Delta V}{I} = \rho\cdot \frac{l}{S}\ \to\ l = \frac{\Delta V\cdot S}{I\cdot l}
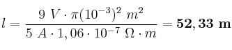
Solo nos queda sustituir los valores del enunciado, teniendo en cuenta que la sección es igual a S = \pi \cdot r^2 y que debemos expresar el radio (1 mm) en metros:

l = \frac{9\ V\cdot \pi (10^{-3})^2\ m^2}{5\ A\cdot 1,06\cdot 10^{-7}\ \Omega\cdot m} = \bf 52,33\ m