Leyes de los gases: ley de Charles (2091)

, por F_y_Q

Seis litros de un gas ideal se encuentran a 24\ ^oC y presión constante. ¿Cuánto disminuye su temperatura para que su volumen sea de cuatro litros?

P.-S.

Los problemas de aplicación de las leyes de los gases requieren que la temperatura esté expresada siempre en escala absoluta. El cambio de escala lo haces sumando 273 al valor de la temperatura inicial en escala centígrada, con lo que tendrás que son 297 K.

La ley de Charles la puedes expresar como:

\color[RGB]{2,112,20}{\bm{\frac{V_i}{T_i} = \frac{V_f}{T_f}}}

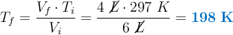
Como necesitas calcular la temperatura final de la mezcla, despejas y sustituyes:

T_f = \frac{V_f\cdot T_i}{V_i} = \frac{4\ \cancel{L}\cdot 297\ K}{6\ \cancel{L}} = \color[RGB]{0,112,192}{\bf 198\ K}

Si hacemos la diferencia entre los valores de temperatura inicial y final tendrás la variación que ha experimentado:

\Delta T = T_f - T_i = (297 - 198)\ K = \fbox{\color[RGB]{192,0,0}{\bf - 99\ K}}


Es decir, la temperatura ha descendido 99 K.