Relación entre la densidad y la presión de dos sistemas gaseosos (8104)

, por F_y_Q

Dos recipientes de igual volumen contiene números diferentes de moles del mismo gas. El recipiente B tiene cuatro veces más moles que el recipiente A. Si ambos recipientes están a la misma temperatura:

a) ¿Cual es la relación de la densidad del gas en el recipiente?

b) ¿Cuál debe ser la relación de las presiones del gas?

P.-S.

La relación molar que indica el enunciado es la clave para resolver los apartados. Recuerda que los moles de un gas se definen en función de la masa y de la masa molecular (o atómica) del gas. Puedes despejar la masa y obtienes:

n = \frac{m}{M}\ \to\ \color[RGB]{2,112,20}{\bf m= n\cdot M}

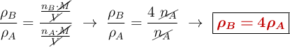
a) La densidad se define como el cociente entre la masa y el volumen del gas. El volumen es el mismo en ambos casos, por lo que será la masa de cada gas la que habrá que tener en cuenta para saber la relación entre las densidades:

\frac{\rho_B}{\rho_A} = \frac{\frac{n_B\cdot \cancel{M}}{\cancel{V}}}{\frac{n_A\cdot \cancel{M}}{\cancel{V}}}\ \to\ \frac{\rho_B}{\rho_A}= \frac{4\ \cancel{n_A}}{\cancel{n_A}}\ \to\ \fbox{\color[RGB]{192,0,0}{\bm{\rho_B = 4\rho_A}}}


b) A partir de la ecuación de los gases ideales puedes escribir la presión de un gas en función de la densidad del mismo:

PV = nRT\ \to\ P = \frac{\frac{m}{M}RT}{V}\ \to\ \color[RGB]{2,112,20}{\bm{P= \frac{\rho\cdot RT}{M}}}

Como se trata del mismo gas, es decir, la masa molecular es la misma, y están a la misma temperatura, la relación entre las presiones solo dependerá del valor de la densidad de cada gas:

\frac{P_B}{P_A}= \frac{\frac{\rho_B\cdot \cancel{R}\cdot \cancel{T}}{\cancel{M}}}{\frac{\rho_A\cdot \cancel{R}\cdot \cancel{T}}{\cancel{M}}}}\ \to\ \fbox{\color[RGB]{192,0,0}{\bm{P_B = 4P_A}}}


Descarga el enunciado y la resolución del problema en formato EDICO si lo necesitas.