Presión dentro de un cilindro que contiene un gas (7119)

, por F_y_Q

Un cilindro de acero con un volumen de 15 L está lleno con 50 g de nitrógeno gaseoso a 25 ^oC. ¿Cuál es la presión del gas en el cilindro?

P.-S.

A partir de la ecuación de los gases ideales puedes expresar los moles de gas como cociente de la masa de gas y la masa molecular:

PV = nRT = \frac{m}{M}RT\ \to\ \color[RGB]{2,112,20}{\bm{P = \frac{mRT}{MV}}}

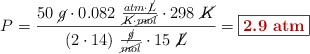
Sustituyes los datos en la ecuación, cuidando de expresar la temperatura en escala absoluta, y calculas:

P = \frac{50\ \cancel{g}\cdot 0.082\ \frac{atm\cdot \cancel{L}}{\cancel{K}\cdot \cancel{mol}}\cdot 298\ \cancel{K}}{(2\cdot 14)\ \frac{\cancel{g}}{\cancel{mol}}\cdot 15\ \cancel{L}} = \fbox{\color[RGB]{192,0,0}{\bf 2.9\ atm}}