Ley general de los gases y cambios de unidades 0001

, por F_y_Q

Una muestra de gas tiene un volumen de 5,10 L a 27^oC y 640 mm de Hg. Si su volumen y su temperatura cambian a 2,10 L y 100^oC, ¿cuál será la presión? Expresa el resultado en torr, Pa, kPa, atm y mm de Hg.

P.-S.

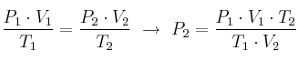
Aplicando la ecuación general de los gases y despejando el valor de la presión:

\frac{P_1\cdot V_1}{T_1} = \frac{P_2\cdot V_2}{T_2}\ \to\ P_2 = \frac{P_1\cdot V_1\cdot T_2}{T_1\cdot V_2}


Sustituimos los datos:

P_2 = \frac{640\ mm\ Hg\cdot 5,1\ L\cdot 373\ K}{300\ K\cdot 2,1\ L} = \bf 1932,5\ mm\ Hg


1 torr = 1 mm Hg, por lo que el resultado también se puede escribir como 1932,5 torr.
1 atm = 760 mm Hg. Aplicando el factor de conversión:

1932,5\ mm\ Hg\cdot \frac{1\ atm}{760\ mm\ Hg} = \bf 2,54\ atm


Podemos tomar como equivalencia que 1\ atm = 10^5\ Pa, luego tendríamos:

2,54\ atm\cdot \frac{10^5\ Pa}{1\ atm} = \bf 2,54\cdot 10^5\ Pa


Por último, aplicamos otro factor de conversión:

2,54\cdot 10^5\ Pa\cdot \frac{1\ kPa}{10^3\ Pa} = \bf 2,54\cdot 10^2\ kPa