Lanzamiento vertical seguido de caída libre (2376)

, por F_y_Q

Se lanza un cuerpo hacia arriba con una velocidad de 24.5 m/s desde un punto a 68.6 metros por encima del suelo. Halla:

a) La altura máxima que alcanza el cuerpo.

b) El tiempo necesario para volver al punto de lanzamiento.

c) La velocidad de llegada al suelo.

d) El tiempo total en el aire.

P.-S.

Al ser un lanzamiento vertical hacia arriba, la velocidad inicial y la aceleración de la gravedad tienen sentido contrario. Puedes considerar que la aceleración gravitatoria es negativa.

El cuerpo lanzado irá disminuyendo su velocidad hasta alcanzar su altura máxima. En ese instante la velocidad será nula. El tiempo que transcurre hasta ese momento será:

v = v_0 - gt\ \to\ 0 = v_0 - gt\ \to\ \color[RGB]{2,112,20}{\bm{t = \frac{v_0}{g}}}

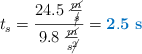
El tiempo que obtengas será el tiempo de subida:

t_s = \frac{24.5\ \frac{\cancel{m}}{\cancel{s}}}{9.8\ \frac{\cancel{m}}{s\cancel{^2}}} = \color[RGB]{0,112,192}{\bf 2.5\ s}

b) Si desprecias rozamientos, el tiempo que tarda en subir el objeto es el mismo que tardará en caer hasta la posición inicial, por lo tanto, el tiempo necesario para que vuelva al punto de lanzamiento es:

t = 2\cdot 2.5\ s = \fbox{\color[RGB]{192,0,0}{\bf 5\ s}}


a) La altura máxima la puedes calcular sustituyendo el tiempo de subida en la ecuación:

\color[RGB]{2,112,20}{\bm{h_{m\acute{a}x} = h_0 + v_0t - \frac{1}{2}gt^2}}

Sustituyes y calculas:

h_{m\acute{a}x} = 68.6\ m + 24.5\ \frac{m}{\cancel{s}}\cdot 2.5\ \cancel{s} - 4.9\ \frac{m}{\cancel{s^2}}\cdot 2.5^2\ \cancel{s^2} = \fbox{\color[RGB]{192,0,0}{\bf 99.2\ m}}


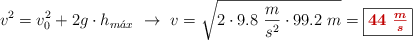
c) Para determinar la velocidad con la que llega al suelo consideras el punto de altura máxima porque, en ese punto, la velocidad del objeto es cero y comienza a caer, es decir, lo puedes considerar como una caída libre, en la que la velocidad de caída tiene el mismo sentido que la gravedad, por lo que ambos serán positivos:

v^2 = v_0^2 + 2g\cdot h_{m\acute{a}x}\ \to\ v = \sqrt{2\cdot 9.8\ \frac{m}{s^2}\cdot 99.2\ m} = \fbox{\color[RGB]{192,0,0}{\bm{44\ \frac{m}{s}}}}


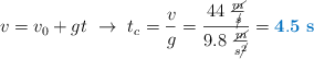
d) Puedes determinar el tiempo que tarda en caer desde la altura máxima y, sumándolo al tiempo que tardó en llegar a esa altura, tendrás el tiempo total. Sigues considerando una caída libre, como en el apartado anterior:

v = v_0 + gt\ \to\ t_c = \frac{v}{g} = \frac{44\ \frac{\cancel{m}}{\cancel{s}}}{9.8\ \frac{\cancel{m}}{s\cancel{^2}}} = \color[RGB]{0,112,192}{\bf 4.5\ s}}

El tiempo total que está en el aire será:

t_v = t_s + t_c = (2.5 + 4.5)\ s = \fbox{\color[RGB]{192,0,0}{\bf 7\ s}}