Lanzamiento vertical hacia arriba de una pelota desde una ventana (1088)

, por F_y_Q

Un niño lanza hacia arriba una pelota desde el balcón de su casa que está a una altura de 7 m. Sabiendo que la pelota sube durante 0.3 s, determina:

a) La velocidad con la que el niño lanza la pelota hacia arriba.

b) La altura máxima que alcanza la pelota.

c) El tiempo transcurrido hasta que la pelota toca el suelo.

d) La velocidad con la que la pelota llega al suelo.

P.-S.

El problema describe un lanzamiento vertical hacia arriba en el que el punto de lanzamiento está por encima de la referencia, si tomas el suelo como referencia del problema. Las ecuaciones de la velocidad y la posición que debes tener en cuenta son:

\left {\color[RGB]{2,112,20}{\bm{v = v_0 - gt}} \atop {\color[RGB]{2,112,20}{\bm{h = h_0 + v_0t - \frac{g}{2}t^2}}} \right \}

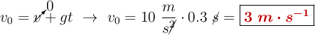
a) Como sabes el tiempo durante el que la pelota asciende, puedes calcular la velocidad inicial del lanzamiento con la primera ecuación:

v_0 = \cancelto{0}{v} + gt\ \to\ v_0 = 10\ \frac{m}{s\cancel{^2}}\cdot 0.3\ \cancel{s} = \fbox{\color[RGB]{192,0,0}{\bm{3\ m\cdot s^{-1}}}}


b) La altura que alcanza la pelota la obtienes usando la segunda ecuación y sustituyendo en ella:

h_{m\acute{a}x} = 7\ m + 3\ \frac{m}{\cancel{s}}\cdot 0.3\ \cancel{s} - \frac{10}{2}\ \frac{m}{\cancel{s^2}}\cdot 0.3^2\ \cancel{s^2} = \fbox{\color[RGB]{192,0,0}{\bf 7.45\ m}}


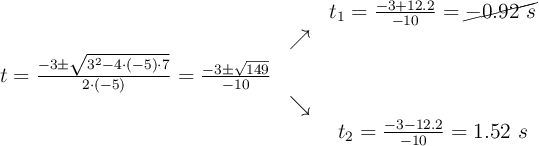
c) Cuando la pelota toque el suelo su altura será cero porque has definido la referencia en él. Si impones esa condición a la ecuación de la posición:

\cancelto{0}{h} = h_0 + v_0 - \frac{g}{2}t^2\ \to\ \color[RGB]{2,112,20}{\bm{0 = 7 + 3t - 5t^2}}

Debes resolver la ecuación de segundo grado:

\begin{array}{ccc} & & t_1= \frac{-3+12.2}{-10} = \cancel{-0.92\ s}\\ & \nearrow &\\ t =\frac{-3\pm \sqrt{3^2-4 \cdot (-5)\cdot 7}}{2 \cdot (-5)}=\frac{-3\pm \sqrt{149}}{-10}& &\\ & \searrow &\\& &t_2 = \frac{-3-12.2}{-10} = 1.52\ s\end{array}

El único resultado matemático con sentido físico es \fbox{\color[RGB]{192,0,0}{\bf t = 1.52\ s}}

d) Sustituyes en la ecuación de la velocidad el tiempo que acabas de calcular y puedes resolver este último apartado:

v = 3\ \frac{m}{s} - 10\ \frac{m}{s\cancel{^2}}\cdot 1.52\ \cancel{s} = \fbox{\color[RGB]{192,0,0}{\bm{-12.2\ m\cdot s^{-1}}}}