Lanzamiento vertical hacia arriba (2445)

, por F_y_Q

Se lanza una flecha hacia arriba con una velocidad inicial de 50 m/s:

a) ¿En qué tiempo alcanza la altura máxima?

b) ¿A qué altura se encuentra la flecha a los 7 s?

c) ¿Cuál es la altura máxima que alcanza la flecha?

P.-S.

a) La altura máxima se alcanzará cuando la velocidad de la flecha sea nula. Es en ese instante deja de subir:

\cancelto{0}{v} = v_0 - gt\ \to\ 0 = v_0 - gt\ \to\ t = \frac{v_0}{g} = \frac{50\ \frac{\cancel{m}}{\cancel{s}}}{10\ \frac{\cancel{m}}{s\cancel{^2}}} = \fbox{\color[RGB]{192,0,0}{\bf 5\ s}}


(He considerado el valor g = 10 para evitar los decimales).

b) Para determinar la altura de la flecha a los 7 s:

h = v_0t - \frac{1}{2} gt^2\ \to\ h = 50\ \frac{m}{\cancel{s}}\cdot 7\ \cancel{s} - 5\ \frac{m}{\cancel{s^2}}\cdot 7^2\ \cancel{s^2} = \fbox{\color[RGB]{192,0,0}{\bf 105\ m}}


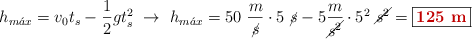
c) La altura máxima se alcanza a los 5 s, que es cuando dejaba de subir la flecha:

h_{m\acute{a}x} = v_0t_s - \frac{1}{2} gt_s^2\ \to\ h_{m\acute{a}x} = 50\ \frac{m}{\cancel{s}}\cdot 5\ \cancel{s} - 5\frac{m}{\cancel{s^2}}\cdot 5^2\ \cancel{s^2} = \fbox{\color[RGB]{192,0,0}{\bf 125\ m}}