Lanzamiento vertical hacia arriba (2278)

, por F_y_Q

Un cuerpo que ha sido lanzando verticalmente hacia arriba tiene una velocidad de 18 m/s después de 3 s. Calcula:

a) La velocidad inicial con la que fue lanzado.

b) La altura que ha alcanzado en ese tiempo.

c) El tiempo que tarda en regresar al punto de lanzamiento.

P.-S.

a) v  = v_0 - gt\ \to\ v_0 = v + gt . Si sustituimos por el valor de la velocidad y tomamos "g" como 10\ \textstyle{m\over s^2}:

v_0 = 18\frac{m}{s} + 10\frac{m}{s\cancel{^2}}\cdot 3\ \cancel{s} = \fbox{\color[RGB]{192,0,0}{\bm{48\ \frac{m}{s}}}}


b) La altura a la que está se puede obtener:

h = v_0t - \frac{1}{2}gt^2\ \to h = 48\ \frac{m}{\cancel{s}}\cdot 3\ \cancel{s} - 5\ \frac{m}{\cancel{s^2}}\cdot 9\ \cancel{s^2} = \fbox{\color[RGB]{192,0,0}{\bf 99\ m}}


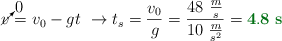
c) Para calcular el tiempo que está en el aire vamos a calcular el tiempo que tarda en subir porque será el mismo que tarda luego en bajar. El cuerpo deja de subir cuando su velocidad es cero:

\cancelto{0}{v} = v_0 - gt\ \to t_s = \frac{v_0}{g} = \frac{48\ \frac{m}{s}}{10\ \frac{m}{s^2}} = \color[RGB]{2,112,20}{\bf 4.8\ s}}

Pero el tiempo que está en el aire será justo el doble del calculado: \fbox{\color[RGB]{192,0,0}{\bm{t_v = 2t_s = 9.6\ s}}}