Lanzamiento vertical desde un risco seguido de caída libre (2486)

, por F_y_Q

Una piedra es lanzada verticalmente hacia arriba con una velocidad de 12 m/s desde el extremo de un risco de 70 m de altura. Determina:

a) ¿Cuánto tiempo después alcanza el fondo del risco?

b) ¿Cuál es su velocidad justo antes de golpear?

c) ¿Qué distancia total recorrió?

P.-S.

Planteas el problema en dos partes. La primera parte será un lanzamiento vertical hacia arriba y la segunda será una caída libre.

Parte 1.

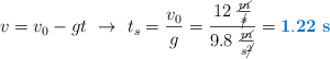
Cuando la piedra alcanza la altura máxima su velocidad es nula.

v = v_0 - gt\ \to\ t_s = \frac{v_0}{g} = \frac{12\ \frac{\cancel{m}}{\cancel{s}}}{9.8\ \frac{\cancel{m}}{s\cancel{^2}}} = \color[RGB]{0,112,192}{\bf 1.22\ s}

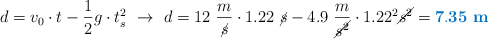
Si tarda 1.22 s en llegar a lo más alto, habrá recorrido:

d = v_0\cdot t - \frac{1}{2}g\cdot t_s^2\ \to\ d = 12\ \frac{m}{\cancel{s}}\cdot 1.22\ \cancel{s} - 4.9\ \frac{m}{\cancel{s^2}}\cdot 1.22^2 \cancel{s^2} = \color[RGB]{0,112,192}{\bf 7.35\ m}

Ha subido 7.35 m por encima de los 70 m de partida.

Parte 2.

Ahora la velocidad inicial de la piedra será cero, puesto que ya está en la parte más alta del recorrido. La distancia hasta el suelo son 77.35 m, que es la altura máxima.

d = \frac{1}{2}gt^2\ \to\ t_c = \sqrt{\frac{2d}{g}} = \sqrt{\frac{2\cdot 77.35\ \cancel{m}}{9.8\ \frac{\cancel{m}}{s^2}} = \color[RGB]{0,112,192}{\bf 3.97\ s}

a) El tiempo que ha tardado en llegar al suelo será:

t = t_s + t_c = 1.22\ s + 3.97\ s = \fbox{\color[RGB]{192,0,0}{\bf 5.19\ s}}


b) La velocidad de la piedra en el instante antes de golpear es, si consideras solo el tramo de caída libre:

v = gt = 9.8\ \frac{m}{s\cancel{^2}}\cdot 3.97\ \cancel{s} = \fbox{\color[RGB]{192,0,0}{\bm{38.9\ \frac{m}{s}}}}


c) El recorrido total será:

d_T =  (7.35 + 77.35)\ m = \fbox{\color[RGB]{192,0,0}{\bf 84.7\ m}}