Lanzamiento horizontal desde una ventana (1137)

, por F_y_Q

Desde una ventana de 7 m de altura se lanza horizontalmente una pelota de 250 g con velocidad inicial de 3.5 m/s. Determina:

a) El tiempo que tarda la pelota en llegar al suelo.

b) La distancia que separa al punto de impacto de la vertical de la ventana.

c) El módulo de la velocidad en el instante del impacto.

P.-S.

La situación que describe el enunciado es un lanzamiento horizontal desde una altura. La clave del problema está en dónde tomas la referencia y el criterio de signos que adoptas. Si la referencia la tomas en el suelo y consideras que la aceleración de la gravedad es positivia, es decir, que el sentido descendente es positivo, las ecuaciones de la posición y la velocidad para la pelota son:

Ecuaciones de la velocidad: \left v_x = v_0\ \to\ {\color[RGB]{2,112,20}{\bm{v_x = 3.5}}} \atop v_y = gt\ \to\ {\color[RGB]{2,112,20}{\bm{v_y = 10t}}} \right \}\ (m\cdot s^{-1})

Ecuaciones de la posición: \left x = v_0t\ \to\ {\color[RGB]{2,112,20}{\bf x = 3.5t}} \atop y = y_0 + \frac{g}{2}t^2\ \to\ {\color[RGB]{2,112,20}{\bm{y = -7 + 5t^2}}} \right \}\ (m)

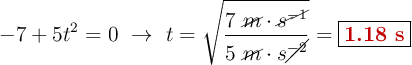
a) Cuando la pelota llegue al suelo la altura será nula. Esa es la condición que debes imponer a la ecuación de la posición vertical:

-7 + 5t^2 = 0\ \to\ t = \sqrt{\frac{7\ \cancel{m}\cdot \cancel{s^{-1}}}{5\ \cancel{m}\cdot s\cancel{^{-2}}}} = \fbox{\color[RGB]{192,0,0}{\bf 1.18\ s}}



b) La posición horizontal para el tiempo calculado es:

x = 3.5\ m\cdot \cancel{s^{-1}}\cdot 1.18\ \cancel{s} = \fbox{\color[RGB]{192,0,0}{\bf 4.13\ m}}



c) La velocidad tiene dos componentes. Debes calcular la componente vertical para el tiempo de vuelo y considerar la componente horizontal, que es constante:

\left v_x = {\color[RGB]{0,112,192}{\bm{3.5\ m\cdot s^{-1}}}} \atop v_y = 10\ m\cdot s\cancel{^{-2}}\cdot 1.18\ \cancel{s} = {\color[RGB]{0,112,192}{\bm{11.8\ m\cdot s^{-1}}}} \right \}

El módulo de la velocidad es:

v = \sqrt{v_x^2 + v_y^2} = \sqrt{(3.5^2 + 11.8^2)\ m\cdot s^{-1}} = \fbox{\color[RGB]{192,0,0}{\bm{12.3\ m\cdot s^{-1}}}}