Lanzamiento horizontal de una esfera (2775)

, por F_y_Q

Una esfera es lanzada horizontalmente desde una altura de 30 m con una velocidad inicial de 80 m/s. Calcula:

a) El tiempo que dura la esfera en el aire.

b) El alcance horizontal de la esfera.

c) La velocidad con que la esfera llega al suelo.

P.-S.

Las ecuaciones del lanzamiento horizontal son:

v_x = v_{0x}\ \to\ x  = v_x\cdot t


v_y  = g\cdot t\ \to\ y = \frac{1}{2}g\cdot t^2



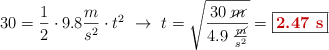
a) El tiempo que estará en el aire puedes deducirlo a partir de la altura a la que se realiza el lanzamiento:

30 = \frac{1}{2}\cdot 9.8\frac{m}{s^2}\cdot t^2\ \to\ t = \sqrt{\frac{30\ \cancel{m}}{4.9\ \frac{\cancel{m}}{s^2}}} = \fbox{\color[RGB]{192,0,0}{\bf 2.47\ s}}}


b) La posición horizontal de la bola cuando llega al suelo será:

x = 80\frac{m}{\cancel{s}}\cdot 2.47\ \cancel{s} = \fbox{\color[RGB]{192,0,0}{\bf 197.6\ m}}}


c) La velocidad con la llega al suelo será la resultante de la componente horizontal y la componente vertical:

v = \sqrt{v_x^2 + v_y^2} = \sqrt{80^2\ \frac{m^2}{s^2} + (9.8\ \frac{m}{s\cancel{^2}}\cdot 2.47\ \cancel{s})^2}  = \fbox{\color[RGB]{192,0,0}{\bm{83.6\ \frac{m}{s}}}}