Lanzamiento hacia arriba de un objeto 0001

, por F_y_Q

Un objeto es lanzado hacia arriba con una velocidad inicial de 60 km/h. Si cada piso mide 3 metros de altura, calcula: ¿cuál es la altura máxima que alcanza? ¿A qué velocidad pasará por el sexto piso, si pasa?

P.-S.

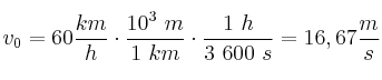
Para que el ejercicio sea homogéneo debemos convertir la velocidad inicial del objeto a m/s:
v_0 = 60\frac{km}{h}\cdot \frac{10^3\ m}{1\ km}\cdot \frac{1\ h}{3\
 600\ s} = 16,67\frac{m}{s}
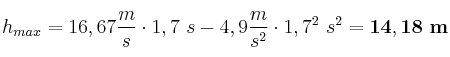
Cuando el objeto deje de subir, es decir, su velocidad sea nula, será cuando alcance la altura máxima. Calculamos el tiempo durante el que sube y luego hacemos el cálculo de la altura que alcanza en el ese momento, que será la altura máxima:
v = v_0 - gt\ \to\ t_s = \frac{v_0}{g}
 = \frac{16,67\ m/s}{9,8\ m/s^2} = 1,7\ s
h_{max} = v_0\cdot t_s - \frac{g}{2}\cdot t^2

h_{max} = 16,67\frac{m}{s}\cdot 1,7\ s - 4,9\frac{m}{s^2}\cdot 1,7^2\ s^2 = \bf 14,18\ m


El sexto piso se encuentra a una altura de 6·3 = 18 m, por lo tanto el objeto no llega al sexto piso en ningún momento y no tiene sentido físico la segunda cuestión planteada.