Lanzamiento hacia arriba de un lapicero hasta 55 m de altura

, por F_y_Q

Se lanza verticalmente un lapicero hacia arriba, alcanzando una altura de 55 m. Calcula la velocidad con la que llega al suelo, el tiempo que tarda en llegar a la altura máxima y el tiempo que está en el aire.

P.-S.

En un lanzamiento vertical hacia arriba, en ausencia de rozamiento, los trayectos de subida y de bajada del objeto son simétricos. La velocidad con la que llegará al suelo será igual que la velocidad con la que fue lanzado hacia arriba, y el tiempo que tardará en caer será el mismo que el tiempo que ha tardado en subir.
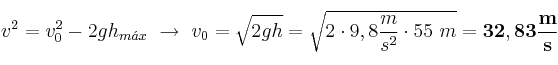
Vamos a calcular la velocidad con la que fue lanzado para poder llegar a los 55 m de altura. Debemos suponer que la velocidad en ese punto es cero:

v^2 = v_0^2 - 2gh_{m\acute{a}x}\ \to\ v_0 = \sqrt{2gh} = \sqrt{2\cdot 9,8\frac{m}{s^2}\cdot 55\ m} = \bf 32,83\frac{m}{s}

Esta velocidad será la misma que la velocidad con la que llega al suelo.
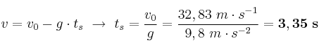
Ahora calculamos el tiempo que tarda en subir:

v = v_0 - g\cdot t_s\ \to\ t_s = \frac{v_0}{g} = \frac{32,83\ m\cdot s^{-1}}{9,8\ m\cdot s^{-2}} = \bf 3,35\ s


El tiempo que estará en el aire es el doble del tiempo de subida, dado que tarda en llegar lo mismo que tardó en subir:

t_v = 2t_s = 2\cdot 3,35\ s = \bf 6,70\ s

Palabras clave