Lanzamiento de una pelota hacia abajo desde una altura dada en pies (4597)

, por F_y_Q

Una muchacha lanza una pelota en linea recta hacia abajo desde la parte más alta de un edificio de 50 ft de altura con una rapidez de 20 ft/s. Cuánto tiempo tarda la pelota en llegar al suelo? ¿Qué rapidez tiene en el momento anterior al choque contra el suelo?

P.-S.

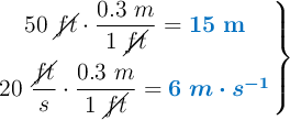
La situación que describe el enunciado es un lanzamiento vertical hacia abajo. Debes convertir las unidades dadas al Sistema Internacional, dado que el valor de «g» lo conoces en dicho sistema de unidades. La equivalencia que vas a usar es que 1 ft = 0.3 m.

\left 50\ \cancel{ft}\cdot \dfrac{0.3\ m}{1\ \cancel{ft}} = {\color[RGB]{0,112,192}{\bf 15\ m}} \atop 20\ \dfrac{\cancel{ft}}{s}\cdot \dfrac{0.3\ m}{1\ \cancel{ft}} = {\color[RGB]{0,112,192}{\bm{6\ m\cdot s^{-1}}} \right \}

Si consideras el sentido descendente como positivo y la referencia la tomas en el punto de lanzamiento, la ecuación de la posición de la pelota es:

h = v_0t + \frac{1}{2}gt^2\ \to\ \color[RGB]{2,112,20}{\bm{15 = 6t + 4.9t^2}}

Tienes que resolver la ecuación de segundo grado anterior:

\begin{array}{ccc} & & t_1= \frac{-6+18.2}{9.8}=\fbox{\color[RGB]{192,0,0}{\bm{1.24\ s}}}\\ & \nearrow &\\ t=\frac{-6\pm \sqrt{6^2 - 4 \cdot 4.9\cdot 15}}{2 \cdot 4.9}=\frac{-6\pm \sqrt{330}}{9.8}& &\\ & \searrow &\\& &t_2 = \frac{-6 - 18.2}{9.8}=\cancel{-2.5\ s}\end{array}

Resultan dos tiempos distintos, aunque solo uno es positivo, que es el que tiene sentido físico.

Ya puedes calcular la rapidez con la llega al final del recorrido:

v = v_0 + gt\ \to\ v = 6\ \frac{m}{s} + 9.8\ \frac{m}{s\cancel{^2}}\cdot 1.24\ \cancel{s} = \fbox{\color[RGB]{192,0,0}{\bm{18.2\ m\cdot s^{-1}}}}