Joven que lanza una piedra a la ventana de su amada (4305)

, por F_y_Q

Un joven quiere averiguar la altura a la que se encuentra la ventana de su novia de tal manera que lanza una piedra verticalmente hacia arriba en línea recta desde el suelo que alcanza la altura de la ventana. La piedra llega vuelve al punto de lanzamiento 2.8 s después de que fuera lanzada. Ayuda al joven a averiguar qué altura debe tener la escalera que le permita llegar hasta su amada.

P.-S.

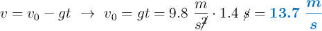
En primer lugar, tienes que determinar con qué velocidad lanza la piedra el joven. Supones que la velocidad de la piedra al llegar a la ventana es nula y consideras que la aceleración de la gravedad es negativa para que el valor de la velocidad inicial sea positivo, ya que tienen sentido contrario ambas magnitudes:

v = v_0 - gt\ \to\ v_0 = gt = 9.8\ \frac{m}{s\cancel{^2}}\cdot 1.4\ \cancel{s} = \color[RGB]{0,112,192}{\bm{13.7\ \frac{m}{s}}}

La altura a la que está la ventana puede ser calculada si tomas como tiempo la mitad del tiempo que la piedra está en el aire:

h = v_0\cdot t - \frac{1}{2}g\cdot t^2 = 13.7\ \frac{m}{\cancel{s}}\cdot 1.4\ \cancel{s} - 4.9\ \frac{m}{\cancel{s^2}}\cdot 1.4^2\ \cancel{s^2} = \fbox{\color[RGB]{192,0,0}{\bf 9.6\ m}}