Intensidad del campo eléctrico a partir del potencial (6767)

, por F_y_Q

Sobre cierta región del espacio, el potencial eléctrico es V = 4x - 6xy^3 + xyz^2 . Halla la expresión del vector campo eléctrico y obtén su módulo en el punto (-1, 0, 2) m.

P.-S.

La relación entre el potencial y el campo eléctrico es que cada componente del campo es la derivada parcial negativa del potencial, con respecto a cada una de las coordenadas:

E_x = -\frac{\partial V}{\partial x} = -\frac{\partial (4x - 6xy^3 + xyz^2)}{\partial x} = -(4 - 6y^3 + yz^2) = \color[RGB]{0,112,192}{\bm{-4 + 6y^3 - yz^2}}

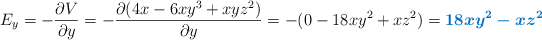
E_y = -\frac{\partial V}{\partial y} = -\frac{\partial (4x - 6xy^3 + xyz^2)}{\partial y} = -(0 - 18xy^2 + xz^2) = \color[RGB]{0,112,192}{\bm{18xy^2 - xz^2}}

E_z = -\frac{\partial V}{\partial z} = -\frac{\partial (4x - 6xy^3 + xyz^2)}{\partial z} = -(0 - 0 + 2xyz) = \color[RGB]{0,112,192}{\bm{- 2xyz}}

El vector del campo eléctrico, escrito en función de las coordenadas, es:

\fbox{\color[RGB]{192,0,0}{\bm{\vec {E} = (-4 + 6y^3 - yz^2)\ \vec i + (18xy^2 - xz^2)\ \vec j - (2xyz)\ \vec z}}}


Para calcular el módulo solo tienes que sustituir los valores de las coordenadas y hacer el módulo del vector resultante:

\color[RGB]{2,112,20}{\bm{\vec {E} = (-4 + 0 - 0)\ \vec i + (0 - 1\cdot 2^2)\ \vec j + 0\ \vec z}}

El módulo es:

E = \sqrt{(-4)^2 + (-4)^2} = \fbox{\color[RGB]{192,0,0}{\bm{5.66\ \frac{N}{C}}}}