Campo eléctrico a una distancia de una esfera cargada que contiene una carga puntual (7359)

, por F_y_Q

Una carga puntal de -6.0 pC se encuentra ubicada en el centro de una esfera conductora de 5.5 cm de radio y +1.0 pC de carga. Determina el campo eléctrico creado a 15 cm del centro de la esfera, suponiendo que el sistema está en el vacío.

P.-S.

Si haces un esquema de la situación que describe el enunciado tendrías:


Si tomas como referencia el centro de la esfera, la distancia que debes considerar en la ecuación del Teorema de Gauss es, precisamente, los 15 cm que indica el enunciado. La carga neta de la esfera será la suma de la carga puntual que está en el centro y la que dispone la esfera en su superficie, es decir:

Q_T = q + Q_{esf} = (- 6 + 1)\ pC= \color[RGB]{0,112,192}{\bm{-5\cdot 10^{-12}\ C}}

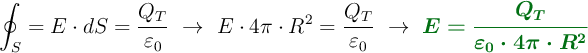
El teorema de Gauss te permite calcular el flujo del campo eléctrico:

\color[RGB]{2,112,20}{\bm{\oint_S \vec{E}\cdot d\vec{S}= \frac{Q_T}{\varepsilon_0}}}

Las líneas de fuerza del campo eléctrico son perpendiculares a la superficie de la esfera, es decir, paralelas al vector \vec S asociado a la superficie de la misma:

\oint_S = E\cdot dS= \frac{Q_T}{\varepsilon_0}\ \to\ E\cdot 4\pi\cdot R^2 = \frac{Q_T}{\varepsilon_0}\ \to\ \color[RGB]{2,112,20}{\bm{E = \frac{Q_T}{\varepsilon_0\cdot 4\pi\cdot R^2}}}

Solo tienes que sustituir y hacer el cálculo del campo eléctrico:

E = \frac{-5\cdot 10^{-12}\ C}{8.85\cdot 10^{-12}\ \frac{F}{\cancel{m}}\cdot 4\pi\cdot 0.15^2\ m\cancel{^2}} = \fbox{\color[RGB]{192,0,0}{\bm{-2\ N\cdot C^{-1}}}}