Campos creados por un anillo y un disco en un punto de su eje (6733)

, por F_y_Q

Un anillo y un disco cargados uniformemente tienen cada uno una carga de 25\ \mu C y un radio de 3 cm. Determina el campo eléctrico para cada uno de estos cuerpos en un punto situado a lo largo de sus ejes y a 4 cm del centro de cada cuerpo.

P.-S.

En ambos casos debes considerar que la carga está distribuida uniformemente y que los cuerpos están en el vacío. Llamas R al radio de ambos cuerpos y d a la distancia a la que consideramos el campo.

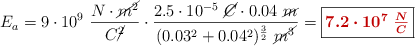
El campo creado por el anillo sigue la fórmula:

\color[RGB]{2,112,20}{\bm{E_a = K\cdot \frac{Q\cdot d}{(R^2 + d^2)^{\frac{3}{2}}}}}

Sustituyes en la ecuación y calculas:

E_a = 9\cdot 10^9\ \frac{N\cdot \cancel{m^2}}{C\cancel{^2}}\cdot \frac{2.5\cdot 10^{-5}\ \cancel{C}\cdot 0.04\ \cancel{m}}{(0.03^2 + 0.04^2)^{\frac{3}{2}}\ \cancel{m^3}} = \fbox{\color[RGB]{192,0,0}{\bm{7.2\cdot 10^7\ \frac{N}{C}}}}


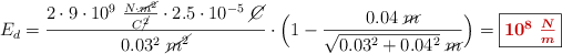
El campo creado por el disco sigue la fórmula:

\color[RGB]{2,112,20}{\bm{E_d = 2K\cdot \frac{Q}{R^2}\cdot \Big(1 - \frac{d}{\sqrt{R^2 + d^2}}\Big)}}

Sustituyes y calculas el valor del campo:

E_d = \frac{2\cdot 9\cdot 10^9\ \frac{N\cdot \cancel{m^2}}{C\cancel{^2}}\cdot 2.5\cdot 10^{-5}\ \cancel{C}}{0.03^2\ \cancel{m^2}}\cdot \Big(1 - \frac{0.04\ \cancel{m}}{\sqrt{0.03^2 + 0.04^2}\ \cancel{m}}\Big) = \fbox{\color[RGB]{192,0,0}{\bm{10^8\ \frac{N}{m}}}}