Hidrostática: presión en fluidos 0001

, por F_y_Q

¿Hasta qué profundidad bajará un submarino si la presión sobre él es igual a 6000 hPa?

P.-S.

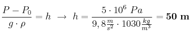
La presión de 6000 hPa es igual a 6\cdot 10^5\ Pa. Si aplicamos la expresión P = P_0 + mg\rho nos encontramos con que la presión atmosférica debemos tenerla en cuenta. La podemos tomar como 10^5\ Pa:

\frac{P - P_0}{g\cdot \rho} = h\ \to\ h = \frac{5\cdot 10^6\ Pa}{9,8\frac{m}{s^2}\cdot 1030\frac{kg}{m^3}} = \bf 50\ m