Globo que sube con velocidad constante y deja caer lastre (7671)

, por F_y_Q

Desde un globo que está 300 m sobre el suelo y se eleva a 13 m/s se deja caer una bolsa de lastre. Para la bolsa, encuentra:

a) La altura máxima que alcanza.

b) Su posición y velocidad después de 5 s de haberse dejado caer.

c) El tiempo que tarda en bajar y golpear el suelo.

P.-S.

Para hacer el problema voy a suponer que la referencia es el suelo y que la velocidad del globo, que es ascendente, es positiva. Esto implica que la aceleración de la gravedad la consideraré negativa.

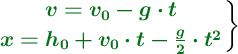
Las ecuaciones de la velocidad y posición de la bolsa de lastre son:

\left {\color[RGB]{2,112,20}{\bm{v = v_0 - g\cdot t}}} \atop {\color[RGB]{2,112,20}{\bm{x= h_0 + v_0\cdot t - \frac{g}{2}\cdot t^2}}} \right \}

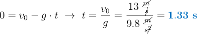
a) La altura de la bolsa de lastre será máxima cuando su velocidad sea nula. Si impones esa condición a la ecuación de la velocidad puedes calcular el tiempo durante el que asciende la bolsa una vez liberada:

0 = v_0 - g\cdot t\ \to\ t = \frac{v_0}{g} = \frac{13\ \frac{\cancel{m}}{\cancel{s}}}{9.8\ \frac{\cancel{m}}{s\cancel{^2}}}= \color[RGB]{0,112,192}{\bf 1.33\ s}

Sustituyes este tiempo en la ecuación de la posición y obtienes la altura máxima:

h_{m\acute{a}x} = 300\ m + 13\ \frac{m}{\cancel{s}}\cdot 1.33\ \cancel{s} - 4.9\ \frac{m}{\cancel{s^2}}\cdot 1.33^2\ \cancel{s^2}= \fbox{\color[RGB]{192,0,0}{\bf 308.6\ m}}


b) Solo tienes que sustituir el valor de 5 s en las dos ecuaciones, la de posición y la de velocidad:

h= 300\ m + 13\ \frac{m}{\cancel{s}}\cdot 5\ \cancel{s} - 4.9\ \frac{m}{\cancel{s^2}}\cdot 5^2\ \cancel{s^2} = \fbox{\color[RGB]{192,0,0}{\bf 243\ m}}


v = 13\ \frac{m}{s} - 9.8\ \frac{m}{s\cancel{^2}}\cdot 5\ \cancel{s}= \fbox{\color[RGB]{192,0,0}{\bm{-36\ \frac{m}{s}}}}


El signo negativo indica que la bolsa de lastre está descendiendo. Debes recordar el criterio de signos del inicio del problema.

c) La condición que debes imponer es que la altura de la bolsa sea cero:

\color[RGB]{2,112,20}{\bm{0= 300 + 13t - 4.9t^2}}

Se trata de resolver la ecuación de segundo grado y obtienes una única solución válida: \fbox{\color[RGB]{192,0,0}{\bf t= 9.26\ s}}