Gato que caza a un ratón 0001

, por F_y_Q

Un ratón se dirige hacia su madriguera en línea recta con una velocidad constante de 2\ m\cdot s^{-1}, cuando le faltan 5 m para llegar pasa cerca de un gato que está en reposo. Si el gato acelera a razón de 2\ m\cdot s^{-2} en la dirección del ratón, ¿logrará alcanzarlo? Si lo alcanza, ¿a qué distancia de la madriguera lo hará?

P.-S.

Podemos responder a las dos preguntas planteadas si suponemos que el gato da caza al ratón e igualamos sus posiciones para ese instante. Al resolver el sistema tendríamos una solución coherente y sólo nos quedaría calcular la posición de ambos cuando ocurre.
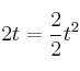
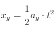
Cuando el gato dé caza al ratón la posición de ambos será la misma:
x_r = v_r\cdot t
x_g = \frac{1}{2}a_g\cdot t^2

2t = \frac{2}{2}t^2


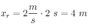
La solución de la ecuación es t = 2 s. Si sustituimos el tiempo calculado en la ecuación de la posición del ratón, por ejemplo:

x_r = 2\frac{m}{s}\cdot 2\ s = 4\ m


Eso quiere decir que el ratón habrá recorrido 4 m y será cazado cuando está a sólo 1 m de su madriguera.

Palabras clave