P.-S.
a) La función de onda inicial estará normalizada cuando cumpla la condición:
Escribes la ecuación sustiyendo la función de onda:
Si desarrollas el cuadrado y divides en tres integrales:
Las integrales son inmediatas y las calculas entre los límites de integración:
Si sacas factor común
y simplificas:
![\frac{30\cdot \cancel{L^5}}{\cancel{L^5}} \left( \frac{1}{3} - \frac{1}{2} + \frac{1}{5} \right) = 30 \left( \frac{10}{30} - \frac{15}{30} + \frac{6}{30} \right) = \fbox{\color[RGB]{192,0,0}{\bm{30 \left( \frac{1}{30} \right) = 1}}} \frac{30\cdot \cancel{L^5}}{\cancel{L^5}} \left( \frac{1}{3} - \frac{1}{2} + \frac{1}{5} \right) = 30 \left( \frac{10}{30} - \frac{15}{30} + \frac{6}{30} \right) = \fbox{\color[RGB]{192,0,0}{\bm{30 \left( \frac{1}{30} \right) = 1}}}](local/cache-vignettes/L562xH54/8237f800da8c3f9fd5b1f393f9101993-d7799.png?1748518548)
Como puedes ver, la función de onda está normalizada.
b) La ecuación de los estados estacionarios de un pozo infinito es:
Tienes que expresar la función de onda como combinación lineal de los estados estacionarios:
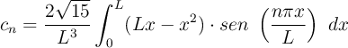
Los coeficientes

los calculas de esta manera:
Si operas con las constantes que está fuera del integrando tienes:
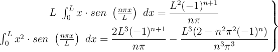
La resolución de la integral la haces en dos partes:
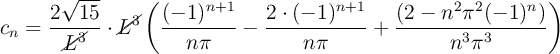
Combinas los términos anteriores y tienes:
Si tienes en cuenta que para valores pares de «n» los términos se cancelan y simplificas, obtienes:
Por lo tanto, para valores pares de «n» los coeficientes son nulos y para valores impares de «n» obtienes:
![\fbox{\color[RGB]{192,0,0}{\bm{c_n = \frac{8 \sqrt{15}}{n^3 \pi^3}}}} \fbox{\color[RGB]{192,0,0}{\bm{c_n = \frac{8 \sqrt{15}}{n^3 \pi^3}}}}](local/cache-vignettes/L112xH44/04c2a1b221d1d61b754b6118114834ff-8bf3a.png?1748518548)
c) La función de onda en función del tiempo, escrita como combinación lineal de los estados estacionarios, es:
![\color[RGB]{192,0,0}{\bm{\Psi(x, t) = \sum_{n=1, 3, 5, \dots} \frac{8\sqrt{15}}{n^3\pi^3} \sqrt{\frac{2}{L}}\cdot sen \left( \frac{n \pi x}{L} \right) e^{\frac{-i E_n t}{\hbar}}}} \color[RGB]{192,0,0}{\bm{\Psi(x, t) = \sum_{n=1, 3, 5, \dots} \frac{8\sqrt{15}}{n^3\pi^3} \sqrt{\frac{2}{L}}\cdot sen \left( \frac{n \pi x}{L} \right) e^{\frac{-i E_n t}{\hbar}}}}](local/cache-vignettes/L492xH64/03b030ad0729d2fb05ce484362f06f3e-51349.png?1748518548)
donde el término

es:
d) Como

para cualquier valor par de «n», la probabilidad de encontrar

es nula, es decir:
![\fbox{\color[RGB]{192,0,0}{\bm{P(E_2) = |c_2|^2 = 0}}} \fbox{\color[RGB]{192,0,0}{\bm{P(E_2) = |c_2|^2 = 0}}}](local/cache-vignettes/L196xH35/647b31c714d943188eaf53f7bde46f47-4c1ee.png?1748518548)
Esto ocurre porque la función de onda es una combinación de estados estacionarios impares, como has calculado en el segundo apartado del problema.