Constante de normalización y probabilidad de estar en el estado fundamental sabiendo la función de onda (8396)
Una partícula de masa «m» está confinada en una caja unidimensional de longitud «L», con paredes infinitamente altas, es decir, con potencial infinito fuera de la caja. La función de onda inicial de la partícula es:

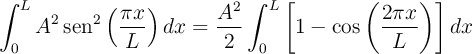
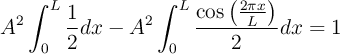
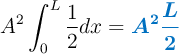
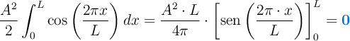
a) Determina la constante de normalización «A».
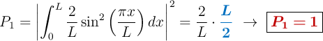
b) Encuentra la probabilidad de que la partícula se encuentre en el estado fundamental (n=1).
Ejercicios FyQ