Frecuencia umbral y potencial de extracción de un metal con los datos de un experimento (8211)
Cuando se ilumina una cierta superficie metálica con luz de diferentes longitudes de onda y se miden los potenciales que detienen los fotoelectrones, se obtienen los valores que se muestran en la siguiente tabla:

Representando el potencial en función de la frecuencia, determina:
a) La frecuencia umbral.
b) El trabajo de extracción del metal.
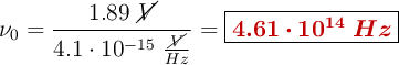
c) La constante de Planck y el error relativo cometido.
Ejercicios FyQ