Fuerza resultante en una prensa hidráulica cuando la sección mayor es el cuadruple que la menor (5145)

, por F_y_Q

Calcula la fuerza obtenida en el émbolo mayor de una prensa hidráulica si en el menor se hacen 15 N y los émbolos circulares tienen cuádruple radio uno del otro.

P.-S.

El Principio de Pascal establece que la presión que se ejerce en un fluido se transmite con la misma intensidad en todas las direcciones. La presión que se ejerce en el émbolo menor es el cociente entre la fuerza aplicada y la sección del émbolo. Puedes igualar las presiones en ambos émbolos y despejar el valor de la fuerza en el mayor:

\frac{F_M}{S_M}  = \frac{F_m}{S_m}\ \to\ F_M = \frac{F_m\cdot S_M}{S_m}

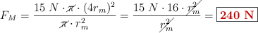
Si tienes en cuenta la sección de cada émbolo circular, en función del radio, obtienes:

F_M = \frac{15\ N\cdot \cancel{\pi} \cdot (4r_m)^2}{\cancel{\pi} \cdot r_m^2} = \frac{15\ N\cdot 16\cdot \cancel{r_m^2}}{\cancel{r_m^2}} = \fbox{\color[RGB]{192,0,0}{\bf 240\ N}}