Fuerza que ejerce un gas a partir de la presión 0001

, por F_y_Q

Determina la fuerza que ejerce un gas en un recipiente cerrado si la presión marcada por un barómetro es de 960 mm Hg sobre una área de 2\ m^2. Expresa el resultado en unidades SI.

P.-S.

Este ejercicio se reduce a dos conceptos importantes. El primero es el concepto de presión, que es el cociente entre la fuerza y la superficie. Si despejamos en la fórmula:
P = \frac{F}{S}\ \to\ F = P\cdot S
El segundo concepto tiene que ver con las unidades. La superficie está expresada en unidad SI, por lo que debemos hacer lo mismo con la presión. La equivalencia que vamos a usar es que 760 mm Hg equivalen a 1 atm y ésta es igual a 10^5 pascales:
F = P\cdot S = 960\ mm\ Hg\cdot \frac{1\ atm}{760\ mm\ Hg}\cdot \frac{10^5\ Pa}{1\ atm} = 1,26\cdot 10^5\ Pa
Recordemos que el pascal equivale a \frac{N}{m^2}:

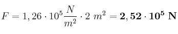
F = 1,26\cdot 10^5\frac{N}{m^2}\cdot 2\ m^2 = \bf 2,52\cdot 10^5\ N