Fuerza que actúa sobre una bala durante el recorrido del cañón del rifle (6103)

, por F_y_Q

Una bala que pesa 0.4 N sale de la boca de un rifle con una rapidez de 200 m/s. ¿Qué valor tiene la fuerza sobre la bala durante su recorrido por el cañón del rifle, si partió del reposo y recorrió una longitud de de 0.4 m por el cañón?

P.-S.

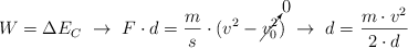
El producto de la a fuerza que se aplica sobre la bala por la distancia del cañón es el trabajo que el rifle hace sobre la bala, y tiene que ser igual a la variación de la energía cinética que experimenta la bala:

W = \Delta E_C\ \to\ F\cdot d = \frac{m}{s}\cdot (v^2 - \cancelto{0}{v_0^2})\  \to\ d = \frac{m\cdot v^2}{2\cdot d}

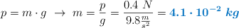
La masa de la bala la obtienes a partir de su peso:

p = m\cdot g\ \to\ m = \frac{p}{g} = \frac{0.4\ N}{9.8\frac{m}{s^2}} = \color[RGB]{0,112,192}{\bm{4.1\cdot 10^{-2}\ kg}}

Ahora solo te queda sustituir y calcular el valor de la fuerza:

F = \frac{4.1\cdot 10^{-2}\ kg\cdot 200^2\frac{m\cancel{^2}}{s^2}}{2\cdot 0.4\ \cancel{m}} = \fbox{\color[RGB]{192,0,0}{\bf 2\ 050\ N}}