Fórmula molecular de un hidrocarburo insaturado (4962)

, por F_y_Q

Calcula la fórmula molecular de un compuesto orgánico cuya composición centesimal es de un 92.3\% de C y un 7.7\% de H, sabiendo que 2.2 g de vapor de ese compuesto ocupan un volumen de 628 mL, a 0 ^oC y 1 atm de presión.

P.-S.

A partir de los datos de masa, volumen, presión y temperatura puedes calcular la masa molecular del compuesto. Con la composición centesimal podrás averiguar la fórmula empírica. Por último, solo tendrás que calcular cuántas veces está contenida la fórmula empírica en la molecular.

Primer paso.

PV = nRT\ \to\  \color[RGB]{2,112,20}{\bm{PV = \frac{m}{M}RT}}

Despejas el valor de la masa molecular (M), pero con mucha atención a la unidades:

M = \frac{mRT}{PV} = \frac{2.2\ g\cdot 0.082\ \frac{\cancel{atm}\cdot \cancel{L}}{\cancel{K}\cdot mol}\cdot 273\ \cancel{K}}{1\ \cancel{atm}\cdot 0.628\ \cancel{L}} = \color[RGB]{0,112,192}{\bm{78.4\ \frac{g}{mol}}}

Segundo paso.

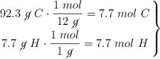
Tomas como base de cálculo 100 g de compuesto, por lo que los porcentajes dados los puedes considerar masa de C y H respectivamente. Divides por la masa atómica de cada elemento para convertir esas masas en mol:

\left 92.3\ \cancel{g}\ C\cdot \dfrac{1\ mol}{12\ \cancel{g}} = 7.7\ mol\ C \atop 7.7\ \cancel{g}\ H\cdot \dfrac{1\ mol}{1\ \cancel{g}} = 7.7\ mol\ H \right \}

Como ves, hay los mismos moles de C y de H en la fórmula empírica que queda escrita como \color[RGB]{192,0,0}{\bf CH}.

Tercer paso.

La masa de la fórmula empírica es: (12 + 1) = 13.

Este valor multiplicado n veces será igual a la masa molecular que calculaste en el primer paso, es decir, n será las veces que se repite la fórmula empírica en la fórmula molecular:

13n = 78.4\ \to\ n = \frac{78.4}{13} = \color[RGB]{0,112,192}{\bf 6}

La fórmula molecular del compuesto será \fbox{\color[RGB]{192,0,0}{\textbf{\ce{C6H6}}}}

El compuesto al que hace referencia el problema es el BENCENO.