Fórmula molecular de un compuesto a partir de su composición (3681)

, por F_y_Q

La composición en porcentaje de masa de un compuesto es de 76.0\% C, 12.8\% H, y 11.2\% O. Si la masa molar de este compuesto es 284.5 g/mol, ¿cuál es la fórmula molecular del compuesto?

P.-S.

Para hacer el problema puedes considerar 100 g de compuesto, de ese modo puedes partir de 76 g de C, 12.8 g de H y 11.2 g de O.

Si divides por la masa atómica de cada uno de los elementos obtienes la proporción de estos en el compuesto:

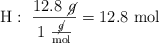
\ce{C}:\ \frac{76\ \cancel{g}}{12\ \frac{\cancel{g}}{\text{mol}}} = 6.33\ \text{mol} ; \ce{H}:\ \frac{12.8\ \cancel{g}}{1\ \frac{\cancel{g}}{\text{mol}}} = 12.8\ \text{mol} ; \ce{O}:\ \frac{11.2\ \cancel{g}}{16\ \frac{\cancel{g}}{\text{mol}}} = 0.70\ \text{mol}

Para saber la proporción de cada elemento con respecto a los demás, es decir, la fórmula empírica del compuesto, divides por la menor de las cantidades obtenidas, dándole el valor 1 a ese elemento. Al hacerlo, y redondeando los resultados, obtienes:

\ce{C}:\ \frac{6.33}{0.7} = \color[RGB]{0,112,192}{\bf 9} ; \ce{H}:\ \frac{12.8}{0.7} = \color[RGB]{0,112,192}{\bf 18} ; \ce{O}:\ \frac{0.7}{0.7} = \color[RGB]{0,112,192}{\bf 1}

Por lo tanto, la fórmula empírica del compuesto es: \fbox{\color[RGB]{192,0,0}{\textbf{\ce{C9H18O}}}}

La fórmula molecular será aquella que coincida con la masa molecular del compuesto. Si haces la masa de la fórmula empírica tienes:

\ce{C9H18O}:\ 12\cdot 9 + 1\cdot 18 + 1\cdot 16 = \color[RGB]{0,112,192}{\bm{142\ \frac{g}{mol}}}

Por lo tanto, si multiplicas este valor por n y lo igualas a la masa molecular, puedes saber cuántas veces se repite esa fórmula empírica:

142n = 284.5\ \to\ n = \frac{284.5}{142} = \color[RGB]{0,112,192}{\bf 2}

La fórmula molecular que estás buscando es: \fbox{\color[RGB]{192,0,0}{\textbf{\ce{C18H36O2}}}}