Composición centesimal y fórmula empírica de un hidrocarburo (2747)

, por F_y_Q

La combustión de 25 g de un hidrocarburo dio 56.25 g de agua y 68.75 g de dióxido de carbono. Determina:

a) La composición centesimal de la muestra.

b) Su fórmula empírica.

c) El compuesto del que podría tratarse.

d) El número de moles de oxígeno necesarios para la combustión.

P.-S.

Si conviertes en mol las masas de los productos obtenidos podrás saber cuántos moles de carbono e hidrógeno componen la muestra quemada:

\left 68.75\ \cancel{g}\ \ce{CO2}\cdot \frac{1\ \text{mol}}{44\ \cancel{g}} = {\color[RGB]{0,112,192}{\textbf{1.562 mol \ce{CO2}}}} \atop 56.25\ \cancel{g}\ \ce{H2O}\cdot \frac{1\ \text{mol}}{18\ \cancel{g}} = {\color[RGB]{0,112,192}{\textbf{3.125 mol \ce{H2O}}}} \right

Como cada molécula de \ce{CO2} contiene un átomo de carbono, la muestra contiene 1.562 moles de carbono. También contiene el doble de moles de hidrógeno porque cada molécula de agua contiene dos átomos de hidrógeno, por lo tanto, la muestra contiene 6.25 moles de hidrógeno.

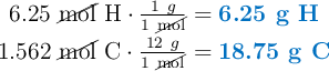
a) La masa de cada tipo de átomo es:

\left 6.25\ \cancel{\text{mol}}\ \ce{H}\cdot \frac{1\ g}{1\ \cancel{\text{mol}}} = {\color[RGB]{0,112,192}{\textbf{6.25 g H}}} \atop 1.562\ \cancel{\text{mol}}\ \ce{C}\cdot \frac{12\ g}{1\ \cancel{\text{mol}}} = {\color[RGB]{0,112,192}{\textbf{18.75 g C}}} \right

Ahora puedes determinar la composición centesimal:

\ce{H}: \frac{6.26\ \cancel{g}}{25\ \cancel{g}}\cdot 100 = \fbox{\color[RGB]{192,0,0}{\bf 25\ \%}}


Por lo tanto, el porcentaje de C será la diferencia con el total:

\ce{C}: (100 - 25)\ \% = \fbox{\color[RGB]{192,0,0}{\bf 75\ \%}}


b) Puedes averiguar la fórmula empírica si divides los moles de cada tipo de átomos por el valor más bajo, para buscar la proporción en la que están:

\left \ce{C}: \frac{1.562\ \cancel{\text{mol}}}{1.562\ \cancel{\text{mol}}} = {\color[RGB]{0,112,192}{\bf 1}} \atop \ce{H}: \frac{6.25\ \cancel{\text{mol}}}{1.562\ \cancel{\text{mol}}} = {\color[RGB]{0,112,192}{\bf 4}} \right

La fórmula empírica del compuesto será \fbox{\color[RGB]{192,0,0}{\textbf{\ce{CH4}}}}

c) Podría tratarse del \fbox{\color[RGB]{192,0,0}{\textbf{metano}}}

d) Si tienes en cuenta la ley de la conservación de la masa, habrán reaccionado:

(68.75 + 56.25)\ g - 25\ g = \color[RGB]{0,112,192}{\textbf{100 g de \ce{O2}}}

Los moles de oxígeno son:

100\ \cancel{g}\ \ce{O2}\cdot \frac{1\ \text{mol}}{32\ \cancel{g}} = \fbox{\color[RGB]{192,0,0}{\textbf{3.125 mol \ce{O2}}}}