Fórmula empírica de un óxido de estaño (1057)

, por F_y_Q

Un óxido de estaño contiene el 78.76\ \% de estaño. Calcula su fórmula empírica, sabiendo que la masa atómica del estaño es 118.7 y la del oxígeno es 16.

P.-S.

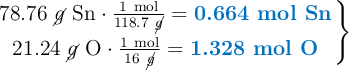
Si tomas como base de cálculo 100 g de óxido, puedes saber qué masa corresponde al estaño y qué masa al oxígeno. A partir de sus masas atómicas, puedes saber qué moles de cada uno están contenidos:

\left 78.76\ \cancel{g}\ \ce{Sn}\cdot \frac{1\ \text{mol}}{118.7\ \cancel{g}} = {\color[RGB]{0,112,192}{\textbf{0.664 mol Sn}}} \atop 21.24\ \cancel{g}\ \ce{O}\cdot \frac{1\ \text{mol}}{16\ \cancel{g}} = {\color[RGB]{0,112,192}{\textbf{1.328 mol O}}}} \right \}

Divides por la menor de las cantidades porque de ese modo le das valor «uno» al átomo que está en menor número, pudiendo estableces cuantas veces más se repite el otro átomo:

\left \dfrac{0.664}{0.664} = 1 \atop \dfrac{1.328}{0.664} = {\color[RGB]{0,112,192}{\bf 2}}} \right \}

La fórmula empírica, que refleja la proporción calculada, será:

\fbox{\color[RGB]{192,0,0}{\textbf{\ce{SnO2}}}}