Estudio de una piedra lanzada hacia arriba (5098)

, por F_y_Q

Se lanza una piedra hacia arriba desde la parte alta de un edificio de 100 m de altura con una velocidad de 15 m/s y a su regreso pasa cerca del punto de lanzamiento. Calcula:

a) La velocidad de la piedra 1 s y 4 s después de haber sido lanzada.

b) La posición al cabo de 1 s y 4 s.

c) La velocidad cuando esta 6 m por encima del punto de partida.

d) La máxima altura que alcanza y el tiempo en alcanzarla.

P.-S.

Se trata de un lanzamiento vertical hacia arriba en el que la posición de partida, si tomas como referencia el suelo, serían los 100 m de altura del edificio.

a) Las velocidades para los tiempos indicados en este apartado las puedes calcular con la expresión:

\color[RGB]{2,112,20}{\bf v = v_0 -gt}

Si sustituyes los tiempos indicados:

\left v_{t=1} = 15\ \frac{m}{s} - 9.8\ \frac{m}{s\cancel{^2}}\cdot 1\ \cancel{s} = {\fbox{\color[RGB]{192,0,0}{\bm{5.2\ \frac{m}{s}}}}} \atop v_{t=4} = 15\ \frac{m}{s} - 9.8\ \frac{m}{s\cancel{^2}}\cdot 4\ \cancel{s} = {\fbox{\color[RGB]{192,0,0}{\bm{-24.2\ \frac{m}{s}}}}} \right \}


El signo menos quiere decir que la piedra está descendiendo cuando han pasado cuatro segundos.

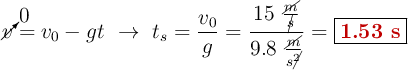
d) Para poder saber las posiciones del apartado b) es necesario conocer antes cuál es la altura máxima y el tiempo que tarda en alcanzarla. En ese punto, la velocidad de la piedra es nula y el tiempo de subida es:

\cancelto{0}{v} = v_0 - gt\ \to\ t_s = \frac{v_0}{g} = \frac{15\ \frac{\cancel{m}}{\cancel{s}}}{9.8\ \frac{\cancel{m}}{s\cancel{^2}}} = \fbox{\color[RGB]{192,0,0}{\bf 1.53\ s}}


La altura máxima es:

y_{m\acute{a}x} = y_0 + v_0t - \frac{1}{2}gt_s^2 = 100\ m + 15\ \frac{m}{\cancel{s}}\cdot 1.53\ \cancel{s} - \frac{1}{2}\cdot 9.8\ \frac{m}{\cancel{s^2}}\cdot (1.53)^2\ \cancel{s^2} = \fbox{\color[RGB]{192,0,0}{\bf 114\ m}}


b) La posición a t = 1 s la puedes calcular como en el apartado d) porque el cuerpo está en ascenso:

y_{t=1} = y_0 + v_0t - \frac{1}{2}gt^2 = 100\ m + 15\ \frac{m}{\cancel{s}}\cdot 1\ \cancel{s} - \frac{1}{2}\cdot 9.8\ \frac{m}{\cancel{s^2}}\cdot 1^2\ \cancel{s^2} = \fbox{\color[RGB]{192,0,0}{\bf 110.1\ m}}


Para saber la posición a los 4 s, consideras que el cuerpo sufre una caída libre desde 110.1 m de altura durante un tiempo que será:

(4 - 1.35)\ s = \color[RGB]{0,112,192}{\bf 2.65 s}

La altura será:

y_{t=4} = y_{m\acute{a}x} - \frac{1}{2}gt^2 = 110.1\ m - 4.9\ \frac{m}{\cancel{s^2}}\cdot 2.65^2\ \cancel{s^2} = \fbox{\color[RGB]{192,0,0}{\bf 75.7\ m}}


c) Para conocer la velocidad en función de la posición vas a usar otra fórmula que relaciona ambas magnitudes en ausencia del tiempo:

v^2 = v_0^2 - 2gh\ \to\ \color[RGB]{2,112,20}{\bm{v = \sqrt{v_0^2 - 2gh}}}

La velocidad la obtienes al sustituir en la ecuación anterior:

v = \sqrt{15^2\ \frac{m^2}{s^2} - 2\cdot 9.8\ \frac{m}{s^2}\cdot 6\ m} = \fbox{\color[RGB]{192,0,0}{\bm{10.4\ \frac{m}{s}}}}