Estudio de dos movimientos distintos en instantes distintos (6880)

, por F_y_Q

Juana se encuentra viajando por un camino recto en su automóvil, de regreso de casa de su amiga en el campo, a una velocidad constante de 60 km/h. Luego de 2 minutos de la partida de Juana, Marta, quien reside en dicho campo, observa que su amiga se ha dejado el celular sobre la mesa por lo que decide tomar su motocicleta y alcanzar a su amiga, para poder devolver dicho aparato.

a) ¿A qué distancia de la casa del campo se encuentra Juana en el momento que Marta sale a su alcance?

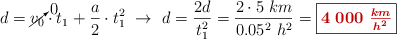
b) A 5 km se encuentra la carretera principal, donde, debido al tránsito, Marta sabe que será más difícil ubicar a su amiga ¿Qué aceleración deberá implementar Marta para alcanzar a su amiga antes de que esta llegue a la carretera principal y le sea más difícil encontrarla?

c) Realiza las gráficas de a(t), v(t) y x(t) para cada uno de los vehículos.

P.-S.

a) Si convierte el tiempo en horas, puedes calcular la posición en la que se encuentra Juana a los 2 minutos:

2\ \cancel{min}\cdot \frac{1\ h}{60\ \cancel{min}} = \color[RGB]{0,112,192}{\bm{3.33\cdot 10^{-2}\ h}}

x_J = v_J\cdot t = 60\ \frac{km}{\cancel{h}}\cdot 3.33\cdot 10^{-2}\ \cancel{h} = \fbox{\color[RGB]{192,0,0}{\bf 2\ km}}


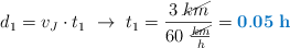
b) Marta debe alcanzar a Juana antes de que recorra los 3 km que le quedan hasta la carretera principal. Primero debes calcular cuánto será ese tiempo:

d_1 = v_J\cdot t_1\ \to\ t_1 = \frac{3\ \cancel{km}}{60\ \frac{\cancel{km}}{h}} = \color[RGB]{0,112,192}{\bf 0.05\ h}

La aceleración mínima será la que haga que la alcance en el tiempo calculado:

d = \cancelto{0}{v_0}\cdot t_1 + \frac{a}{2}\cdot t_1^2\ \to\ d = \frac{2d}{t_1^2} = \frac{2\cdot 5\ km}{0.05^2\ h^2} = \fbox{\color[RGB]{192,0,0}{\bm{4\ 000\ \frac{km}{h^2}}}}


c) (Si clicas sobre las miniaturas podrás ver las gráficas con más detalle).

Gráfica x(t):


Gráfica v(t):


Gráfica a(t):