Estequiometría: masa de producto a partir de masas de reactivos 0001

, por F_y_Q

Para obtener dióxido de estaño se han hecho reaccionar 8,32 g de estaño con 2,51 g de oxígeno. ¿Qué cantidad de óxido se formará?

Datos: Sn = 118,7 ; O = 16

P.-S.

La reacción que tiene lugar es: Sn + O_2\ \to\ SnO_2
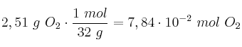
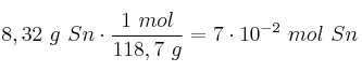
Convertimos en mol cada una de las masas que nos indican:

8,32\ g\ Sn\cdot \frac{1\ mol}{118,7\ g} = 7\cdot 10^{-2}\ mol\ Sn


2,51\ g\ O_2\cdot \frac{1\ mol}{32\ g} = 7,84\cdot 10^{-2}\ mol\ O_2


Dado que un mol de Sn reacciona con un mol de O_2, reaccionará todo el Sn y sobrará algo de oxígeno. Se formarán 7\cdot 10^{-2}\ mol\ SnO_2. Convertimos en masa este dato:

7\cdot 10^{-2}\ mol\ SnO_2\cdot \frac{150,7\ g}{1\ mol} = \bf 10,55\ g\ SnO_2