Espiras del devanado secundario de un transformador

, por F_y_Q

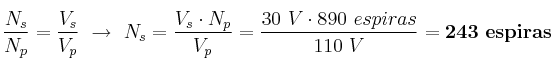
¿Cuántas espiras tiene un transformador en el devanado secundario si sabemos que el devanado primario tiene 890 espiras? El voltaje del devanado primario es 110 V y el del secundario es 30 V.

P.-S.

En el transformador se cumple que la relación entre las espiras de los devanados es igual a la relación entre sus voltajes. Podemos despejar el número de espiras y resolver:

\frac{N_s}{N_p} = \frac{V_s}{V_p}\ \to\ N_s = \frac{V_s\cdot N_p}{V_p} = \frac{30\ V\cdot 890\ espiras}{110\ V} = \bf 243\ espiras