Espacio recorrido y aceleración de un colectivo que frena durante un tiempo (6006)

, por F_y_Q

Un colectivo circula a 36\ \textstyle{km\over  h} y comienza a frenar, durante 6 s, llegando a reducir su velocidad a 12\ \textstyle{km\over  h}. Calcula:

a) ¿Cuál fue el espacio que recorrió mientras frenaba, expresado en metros?

b) ¿Cuál fue su desaceleración, expresada en \textstyle{m\over  s^2}?

c) ¿En qué tiempo llegaría a frenar del todo manteniendo esa desaceleración?

P.-S.

Los resultados deben estar expresados en unidades del Sistema Internacional por lo que lo más sensato es convertir las velocidades dadas a unidad SI:

36\ \frac{\cancel{km}}{\cancel{h}}\cdot \frac{10^3\ m}{1\ \cancel{km}}\cdot \frac{1\ \cancel{h}}{3.6\cdot 10^3\ s}  = \color[RGB]{0,112,192}{\bm{10\ \frac{m}{s}}}

12\ \frac{\cancel{km}}{\cancel{h}}\cdot \frac{10^3\ m}{1\ \cancel{km}}\cdot \frac{1\ \cancel{h}}{3.6\cdot 10^3\ s}  = \color[RGB]{0,112,192}{\bm{3.33\ \frac{m}{s}}}

b) b) Resuelves el segundo apartado porque te será de utilidad para hacer el primero. La desaceleración del vehículo es:

a = \frac{(v - v_0)}{t} = \frac{(3.33 - 10)\frac{m}{s}}{6\ s} = \fbox{\color[RGB]{192,0,0}{\bm{- 1.11\ \frac{m}{s^2}}}}


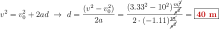
a) El espacio que recorre en la frenada lo calculas con la ecuación:

v^2 = v_0^2 + 2ad\ \to\ d = \frac{(v^2 - v_0^2)}{2a} = \frac{(3.33^2 - 10^2)\frac{m\cancel{^2}}{\cancel{s^2}}}{2\cdot (-1.11)\frac{\cancel{m}}{\cancel{s^2}}} = \fbox{\color[RGB]{192,0,0}{\bf 40\ m}}


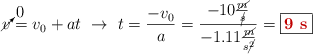
c) El tiempo para detenerse lo obtienes considerando como velocidad inicial los 10\ \textstyle{m\over  s} y sería:

\cancelto{0}{v} = v_0 + at\ \to\ t = \frac{-v_0}{a} = \frac{-10\frac{\cancel{m}}{\cancel{s}}}{- 1.11\frac{\cancel{m}}{s\cancel{^2}}} = \fbox{\color[RGB]{192,0,0}{\bf 9\ s}}