Espacio recorrido por un móvil con MRUA 0001

, por F_y_Q

Un móvil parte del reposo con una aceleración de 3\ m\cdot s^{-2}. Calcula el espacio recorrido en el tercer segundo.

P.-S.

Primero hay que determinar la velocidad que tendrá el móvil cuando hayan pasado 2 s:
v_{2s} = v_0 + at = 0 + 3\frac{m}{s^2}\cdot 2\ s = 6\frac{m}{s}
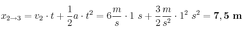
Ahora podemos hacer el cálculo del espacio que recorre en el segundo que transcurre desde t = 2 s hasta t = 3 s:

x_{2\to 3} = v_2\cdot t + \frac{1}{2}a\cdot t^2 = 6\frac{m}{s}\cdot 1\ s + \frac{3}{2}\frac{m}{s^2}\cdot 1^2\ s^2 = \bf 7,5\ m