Energía total y velocidad máxima de un péndulo (6836)

, por F_y_Q

El péndulo de un reloj regular consiste en una masa de 120 g en el extremo de una barra de madera (sin masa) de 44 cm de longitud.

a) ¿Cuál es la energía total de este péndulo cuando oscila con una amplitud de 4^o?

b) ¿Cuál es la rapidez de la masa cuando está en su punto más bajo?

P.-S.

a) La energía total del péndulo ha de ser constante si no se consideran rozamientos. La puedes obtener si supones que se encuentra en su punto más alto, donde tendría una altura de 0.44 m y una velocidad nula:

E_T = \cancelto{0}{E_C} + E_P\ \to\ E_T = m\cdot g\cdot h\ \to\ E_T = 0.12\ kg\cdot 9.8\ \frac{m}{s^2}\cdot 0.44\ m = \fbox{\color[RGB]{192,0,0}{\bf 0.517\ J}}


Esta energía es la misma en cualquier punto de la oscilación del péndulo.

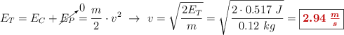
b) Cuando está en el punto más bajo la energía potencial es nula:

E_T = E_C + \cancelto{0}{E_P} = \frac{m}{2}\cdot v^2\ \to\ v = \sqrt{\frac{2E_T}{m}} = \sqrt{\frac{2\cdot 0.517\ J}{0.12\ kg}} = \fbox{\color[RGB]{192,0,0}{\bm{2.94\ \frac{m}{s}}}}