Energía potencial total de una caja colgada de un resorte a una altura (6959)

, por F_y_Q

Una caja de 10.0 kg se cuelga de un resorte que mide 250\ \textstyle{N\over m} y está colgado de una barra horizontal situada a 3.00 m del suelo. Calcula la energía potencial total del sistema caja-resorte cuando está en equilibrio. Considera que nivel de referencia es el suelo.

P.-S.

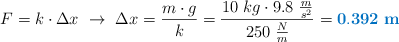
Lo primero que debes hacer es calcular cuánto es lo que se alarga el muelle como consecuencia de colgar la caja en el resorte. Para ello aplicas la ley de Hooke, teniendo en cuenta que la fuerza sobre el muelle es el peso de la caja:

F = k\cdot \Delta x\ \to\ \Delta x = \frac{m\cdot g}{k} = \frac{10\ kg\cdot 9.8\ \frac{m}{s^2}}{250\ \frac{N}{m}} = \color[RGB]{0,112,192}{\bf 0.392\ m}

La altura a la que queda la caja, desde el suelo, es la diferencia entre la altura a la que cuelga el muelle y lo que se elonga:

h = (3 - 0.392)\ m = \color[RGB]{0,112,192}{\bf 2.61\ m}

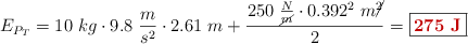
La energía potencial total del sistema será la suma de la energía potencial gravitatoria y la energía potencial elástica:

\color[RGB]{2,112,20}{\bm{E_{P_T} = E_{P_g} + E_{P_e} = m\cdot g\cdot h + \frac{k\cdot \Delta x^2}{2}}}

Solo tienes que sustituir y calcular:

E_{P_T} = 10\ kg\cdot 9.8\ \frac{m}{s^2}\cdot 2.61\ m + \frac{250\ \frac{N}{\cancel{m}}\cdot 0.392^2\ m\cancel{^2}}{2} = \fbox{\color[RGB]{192,0,0}{\bf 275\ J}}