Energía necesaria para fundir y calentar 500 g de hielo (4661)

, por F_y_Q

Calcula la energía que hay que suministrar a 500 g de hielo a -5\ ^o C para que pasen a agua líquida a 40\ ^oC.

Datos: c_e(\text{hielo}) = 0.5\ cal\cdot (g\cdot ^o C)^{-1} ; c_e(\text{agua}) = 1\ cal\cdot (g\cdot ^o C)^{-1} ; l_f = 334\ J\cdot g^{-1}

P.-S.

El proceso que ocurre contiene un cambio de estado porque el hielo ha de fundirse y hacerse agua líquida, por lo que debes considerar tres etapas: el calentamiento del hielo, la fusión a agua líquida y el calentamiento del agua.

1. Calentamiento del hielo hasta los 0\ ^oC:

Q_1 = m\cdot c_e\cdot (T_f - T_i) = 500\ \cancel{g}\cdot 0.5\ \frac{\text{cal}}{\cancel{g}\cdot \cancel{^oC}}\cdot [0 - (-5)]\ \cancel{^oC} = \color[RGB]{0,112,192}{\bm{1.25\cdot 10^3\ cal}}

2. Cambio de fase (fusión):

Q_2 = m\cdot l_f = 500\ \cancel{g}\cdot 334\ \frac{J}{\cancel{g}} = 1.67\cdot 10^5\ J

Para que las unidades sean homogéneas debes convertir los julios en calorías:

1.67\cdot 10^5\ \cancel{J}\cdot \frac{1\ \text{cal}}{4.18\ \cancel{J}} = \color[RGB]{0,112,192}{\bm{4\cdot 10^4\ cal}}

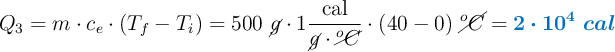
3. Calentamiento del agua hasta los 40\ ^oC:

Q_3 = m\cdot c_e\cdot (T_f - T_i) = 500\ \cancel{g}\cdot 1\frac{\text{cal}}{\cancel{g}\cdot \cancel{^oC}}\cdot (40 - 0)\ \cancel{^oC} = \color[RGB]{0,112,192}{\bm{2\cdot 10^4\ cal}}

El calor total es la suma de los calores anteriores:

Q_T = Q_1 + Q_2 + Q_3 = (1.25\cdot 10^3 + 4\cdot 10^4 + 2\cdot 10^4)\ cal = \fbox{\color[RGB]{192,0,0}{\bm{6.125\cdot 10^4\ cal}}}