Energía a suministrar a una máquina para que realice un trabajo 0001

, por F_y_Q

Una máquina térmica levanta, a una velocidad constante, una caja de 100 kg a una altura de 30 m. Si la eficiencia de la maquina es del 20\% ¿Cuánto calor consume dicha máquina?

P.-S.

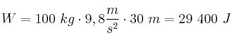
Al elevar la carga a velocidad constante, el trabajo que realiza es igual a la variación de la energía potencial del sistema, es decir, W = \Delta E_P = m\cdot g\cdot \Delta h.

W = 100\ kg\cdot 9,8\frac{m}{s^2}\cdot 30\ m = 29\ 400\ J


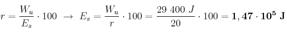
Aplicando la definición de eficiencia o rendimiento y despejando:

r = \frac{W_u}{E_s}\cdot 100\ \to\ E_s = \frac{W_u}{r}\cdot 100 = \frac{29\ 400\ J}{20}\cdot 100 = \bf 1,47\cdot 10^5\ J