Empuje y volumen de un cuerpo sumergido (4100)

, por F_y_Q

Un cuerpo pesa en el aire 10 N y cuando se sumerge en el agua pesa 2 N. Encuentra su volumen, expresado en litros, y el empuje que sufre. Considera que la densidad del agua es 10^3 \ kg\cdot m^{-3}

P.-S.

El peso aparente se define como la diferencia entre el peso del cuerpo y el empuje que sufre cuando está sumergido en un líquido. De esa definición puedes averiguar cuál es el empuje:

{\color[RGB]{2,112,20}{\bm{p_{ap} = p - E}}}\ \to\ E = p - p_{ap} = (10 - 2)\ N = \fbox{\color[RGB]{192,0,0}{\bf 8\ N}}


Para determinar el volumen del cuerpo sumergido aplicas la expresión del empuje:

E = \rho_l\cdot g\cdot V_c\ \to\ \color[RGB]{2,112,20}{\bm{V_c = \frac{E}{\rho_l \cdot g}}}

La densidad del agua es \rho_l = 10^3\ \frac{kg}{m^3}. Sustituyes:

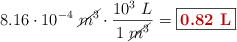
V_c = \frac{8\ N}{10^3\ \frac{kg}{m^3}\cdot 9.8\ \frac{m}{s^2}} = \color[RGB]{0,112,192}{\bf{8.16\cdot 10^{-4}\ m^3}}

Tienes que convertir el volumen a litros:

8.16\cdot 10^{-4}\ \cancel{m^3}\cdot \frac{10^3\ L}{1\ \cancel{m^3}} = \fbox{\color[RGB]{192,0,0}{\bf 0.82\ L}}


Descarga el enunciado y la resolución del problema en formato EDICO si lo necesitas.