Empuje sobre una esfera sumergida y peso aparente (6084)

, por F_y_Q

Calcula el empuje que experimenta una bola de acero 12 cm de diámetro al sumergirla en agua, así como su peso aparente. Considera que la densidad del acero es 7.85\ \textstyle{g\over cm^3} y que la densidad del agua es 1 \ \textstyle{kg\over dm^3} .

P.-S.

En primer lugar calculas el volumen de la esfera de acero porque será el volumen de agua que desplazará al ser sumergida, siendo este valor necesario para calcular el empuje. El dato que te dan es el diámetro de la bola pero debes tener el cuenta el radio, es decir, la mitad de ese valor:

V = \frac{4}{3}\pi\cdot R^3 = \frac{4\pi\cdot 6^3\ cm^3}{3} = \color[RGB]{0,112,192}{\bm{904.3\ cm^3}}

El empuje que sufre la bola cuando es sumergida es:

E = \rho_{\ce{H2O}}\cdot V\cdot g = 1\ \frac{kg}{\cancel{dm^3}}\cdot 904.3\ \cancel{cm^3}\cdot \frac{1\ \cancel{dm^3}}{10^3\ \cancel{cm^3}}\cdot 9.8\ \frac{m}{s^2} = \fbox{\color[RGB]{192,0,0}{\bf 8.86\ N}}


La masa de la bola es:

\rho_b = \frac{m_b}{V}\ \to\ m_b = \rho_b\cdot V = 7.85\ \frac{\cancel{g}}{\cancel{cm^3}}\cdot 904.3\ \cancel{cm^3}}\cdot \frac{1\ kg}{10^3\ \cancel{g}} = \color[RGB]{0,112,192}{\bf 7.1\ kg}}

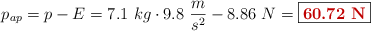
El peso aparente de la bola es la diferencia entre su peso y el empuje que experimenta al ser sumergida en el agua:

p_{ap} = p - E = 7.1\ kg\cdot 9.8\ \frac{m}{s^2} - 8.86\ N = \fbox{\color[RGB]{192,0,0}{\bf 60.72\ N}}


Descarga el enunciado y la resolución del problema en formato EDICO si lo necesitas.