Empuje que realiza un alcohol sobre un cuerpo que se sumerge (6486)

, por F_y_Q

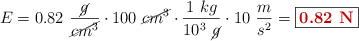
Un cuerpo de 100\ cm ^3 de volumen se sumerge en alcohol, cuya densidad es \rho = 0.82\ \textstyle{g\over cm^3} . Calcula la fuerza de empuje hacia arriba que ejerce el líquido sobre el objeto.

P.-S.

El empuje es igual al peso del líquido que desaloja el cuerpo que es sumergido. Ese peso es el producto de la masa del líquido por la aceleración de la gravedad. Puedes escribir la masa del líquido en función del volumen del cuerpo y la densidad del líquido:

\rho  = \frac{m}{V}\ \to\ m = \rho\cdot V

E = m\cdot g\ \to\ \color[RGB]{2,112,20}{\bm{E = \rho\cdot V\cdot g}}

Solo debes tener cuidado con la unidad de la masa a la hora de hacer los cálculos:

E = 0.82\ \frac{\cancel{g}}{\cancel{cm^3}}\cdot 100\ \cancel{cm^3}\cdot \frac{1\ kg}{10^3\ \cancel{g}}\cdot 10\ \frac{m}{s^2} = \fbox{\color[RGB]{192,0,0}{\bf 0.82\ N}}


Descarga el enunciado y la resolución del problema en formato EDICO si lo necesitas.