Ecuaciones del movimiento de un lanzamiento oblicuo desde un edificio (6339)

, por F_y_Q

Desde lo más alto de un edificio de 50 m de altura se lanza un cuerpo oblicuamente hacia arriba con una velocidad inicial de 25 \ \frac{m}{s} en una dirección que forma un ángulo \alpha con la horizontal, tal que sen\ \alpha  = 0.6 y cos\ \alpha  = 0.8. Suponiendo nula la resistencia del aire y que la aceleración de la gravedad es de 10 \ \frac{m}{s^2}, determina:

a) El vector de posición del móvil en función del tiempo.

b) En qué punto chocará con el suelo, supuesto horizontal.

c) La velocidad del móvil en función del tiempo.

d) Su velocidad en el instante del choque con el suelo.

e) La altura máxima que alcanzará el móvil en su recorrido.

f) La ecuación de la trayectoria de este movimiento.

P.-S.

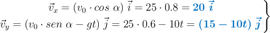
Lo primero que debes tener claro es cuáles son las ecuaciones de la velocidad y de la posición del proyectil en este tipo de lanzamiento:

Velocidad:

\left \vec v_x = (v_0\cdot cos\ \alpha)\ \vec i = 25\cdot 0.8 = {\color[RGB]{0,112,192}{\bm{20\ \vec i}}} \atop \vec v_y = (v_0\cdot sen\ \alpha - gt)\ \vec j = 25\cdot 0.6 - 10t = {\color[RGB]{0,112,192}{\bm{(15 - 10t)\ \vec j}}} \right \}}

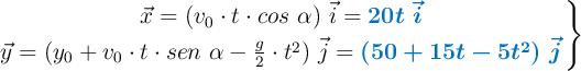
Posición:

\left \vec x = (v_0\cdot t\cdot cos\ \alpha)\ \vec i = {\color[RGB]{0,112,192}{\bm{20t\ \vec i}}}} \atop \vec y = (y_0 + v_0\cdot t\cdot sen\ \alpha - \frac{g}{2}\cdot t^2)\ \vec j = {\color[RGB]{0,112,192}{\bm{(50 + 15t - 5t^2)\ \vec j}}} \right \}}

a) El vector de posición será la suma de los vectores de cada componente:

\fbox{\color[RGB]{192,0,0}{\bm{\vec r = (20\cdot t)\ \vec i + (50 + 15t - 5t^2)\ \vec j}}}


b) El punto de contacto con el suelo se produce cuando la altura es cero, es decir, y = 0:

50 + 15t - 5t^2 = 0\ \to\ \color[RGB]{0,112,192}{\bf t = 5\ s}

Sustituyes este tiempo en la posición en el eje x:

\vec x = 20\ \frac{m}{\cancel{s}}\cdot 5\ \cancel{s}\ \vec i\ = \fbox{\color[RGB]{192,0,0}{\bm{100\ \vec i\ (m)}}}


c) La velocidad será la suma de las componentes de la velocidad:

\fbox{\color[RGB]{192,0,0}{\bm{\vec v = 20\ \vec i + (15 - 10t)\ \vec j}}}


d) La velocidad en el instante de tocar el suelo la obtienes cuando sustituyes el tiempo por el valor calculado antes:

\vec v = 20\ \vec i + (15 - 10\cdot 5)\ \vec j = \fbox{\color[RGB]{192,0,0}{\bm{20\ \vec i - 35\ \vec j\ (\textstyle{m\over s})}}}


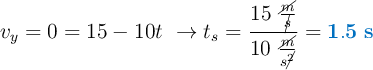
e) La altura máxima que alcanza la obtenemos a partir del tiempo durante el que está subiendo. Deja de subir el cuerpo cuando su componente vertical de la velocidad es cero:

v_y = 0 = 15 - 10t\ \to t_s = \frac{15\ \frac{\cancel{m}}{\cancel{s}}}{10\ \frac{\cancel{m}}{s\cancel{^2}}} = \color[RGB]{0,112,192}{\bf 1.5\ s}

Sustituyes este valor en la ecuación de la posición vertical:

y = 50\ m + 15\ \frac{m}{\cancel{s}}\cdot 1.5\ \cancel{s} - 5\ \frac{m}{\cancel{s^2}}\cdot 1.5^2\ \cancel{s^2} = \fbox{\color[RGB]{192,0,0}{\bf 61.3\ m}}


f) La ecuación de trayectoria la obtienes a partir de las posiciones horizontal y vertical. Despejas el tiempo de la componente horizontal:

x = 20t\ \to\ \color[RGB]{0,112,192}{\bm{t = \frac{x}{20}}}

Y la sustituyes en la vertical:

y = 50 + \frac{15x}{20} - \frac{5x^2}{400}\ \to\ \fbox{\color[RGB]{192,0,0}{\bm{y = 50 + \frac{3x}{4} - \frac{x^2}{80}}}}