Ecuación de posición: posición y velocidad de dos móviles en un instante dado (230)
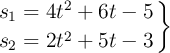
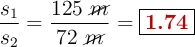
Las ecuaciones del movimiento de dos móviles son:

¿Qué relación existe entre los espacios recorridos por ambos móviles al cabo de 5 s? ¿Y entre sus velocidades?
Las ecuaciones del movimiento de dos móviles son:

¿Qué relación existe entre los espacios recorridos por ambos móviles al cabo de 5 s? ¿Y entre sus velocidades?