Dos cuerpos con movimientos acelerados en el mismo sentido (2713)

, por F_y_Q

Dos cuerpos A y B situados a 2 km de distancia salen simultáneamente uno en persecución del otro con movimiento acelerado (ambos) siendo la aceleración del mas lento (el cuerpo B) de 23\ cm/s^2. Deben encontrarse a 3.025 km de distancia del punto de partida de B. Calcula:

a) Tiempo que tardan en encontrarse.

b) Aceleración de A.

c) Sus velocidades en el momento del encuentro.

P.-S.

Un esquema que represente la situación descrita por el enunciado sería:


Las velocidades de A y B, expresadas en función de la distancia que han de recorrer y sus aceleraciones, son:

\left {\color[RGB]{2,112,20}{\bm{v_A^2 = v_{0A}^2 + 2a_Ad_A}}} \atop {\color[RGB]{2,112,20}{\bm{v_B^2 = v_{0B}^2 + 2a_Bd_B}}} \right \}

Divides ambas expresiones y obtienes:

\color[RGB]{2,112,20}{\bm{\frac{v_A^2}{v_B^2} = \frac{2a_Ad_A}{2a_Bd_B}}}

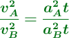
Ahora haces lo mismo con las velocidades expresadas en función del tiempo y las aceleraciones:

\left {\color[RGB]{2,112,20}{\bm{v_A = v_{0A} + a_At}}} \atop {\color[RGB]{2,112,20}{\bm{v_B = v_{0B} + a_Bt}}} \right \}

Elevando al cuadrado y dividiendo ambas expresiones:

\color[RGB]{2,112,20}{\bm{\frac{v_A^2}{v_B^2} = \frac{a_A^2t}{a_B^2t}}}

Puedes igualar ambas ecuaciones y tendrías:

\frac{a_Ad_A}{a_Bd_B} = \frac{a_A^2}{a_B^2}\ \to\ \frac{d_A}{d_B}  = \frac{a_A}{a_B}

b) Sustituyes, teniendo en cuenta que la aceleración de B, expresada en unidades SI, es 0.23\ m/s^2:

a_A = \frac{5\ 025\ \cancel{m}\cdot 0.23\ m/s^2}{3\ 025\ \cancel{m}} = \fbox{\color[RGB]{192,0,0}{\bm{0.38\ \frac{m}{s^2}}}}


c) Las velocidades de ambos cuerpos cuando se encuentren serán:

\color[RGB]{2,112,20}{\bm{v = \sqrt{2a\cdot d}}}

Sustituyendo en ambos casos:

v_A = \sqrt{2\cdot 0.38\ \frac{m}{s^2}\cdot 5\ 025\ m} = \fbox{\color[RGB]{192,0,0}{\bm{61.8\ \frac{m}{s}}}}


v_B = \sqrt{2\cdot 0.23\ \frac{m}{s^2}\cdot 3\ 025\ m} = \fbox{\color[RGB]{192,0,0}{\bm{37.3\ \frac{m}{s}}}}


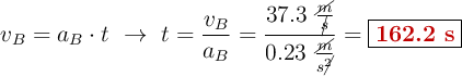
a) Por último, el tiempo que tardarán en encontrarse será:

v_B = a_B\cdot t\ \to\ t = \frac{v_B}{a_B} = \frac{37.3\ \frac{\cancel{m}}{\cancel{s}}}{0.23\ \frac{\cancel{m}}{s\cancel{^2}}} = \fbox{\color[RGB]{192,0,0}{\bf 162.2\ s}}